Soalan Vektor Spm

Soalan spm 2018, soalan spm 2019 sejarah, soalan spm sebenar, soalan spm 2020, soalan spm ekonomi asas 2019, soalan spm, soalan spm bahasa inggeris, soalan spm matematik, soalan spm 2019, soalan spm sains, contoh soalan vektor, contoh soalan vektor matematik tambahan,


Chapter 1 Paper 2 Edit via www.slideshare.net
Chapter 1 paper 2 edit

4.7.3 Vektor, Spm Praktis (kertas 2) - Matematik Tambahan Spm via spmmatematiktambahan.blog.onlinetuition.com.my
4.7.3 Vektor, SPM Praktis (Kertas 2) - Matematik Tambahan SPM

Himpunan Nota Matematik Spm Yang Bermanfaat Untuk Guru via cikguayu.com
Himpunan Nota Matematik Spm Yang Bermanfaat Untuk Guru

Perfect Score Addmath Spm 2013 via www.slideshare.net
Perfect Score Addmath SPM 2013

Vektor – User's Blog! via content.myhometuition.com
Vektor – user's Blog!

Soalan Garis Lurus Spm Kertas 2 - Recipes Site L via recipessitel.blogspot.com
Soalan Garis Lurus Spm Kertas 2 - Recipes Site l

Diari Cikgu Chom: Langkah-langkah Untuk Meningkatkan via cikguchom.blogspot.com
Diari Cikgu Chom: Langkah-langkah untuk Meningkatkan

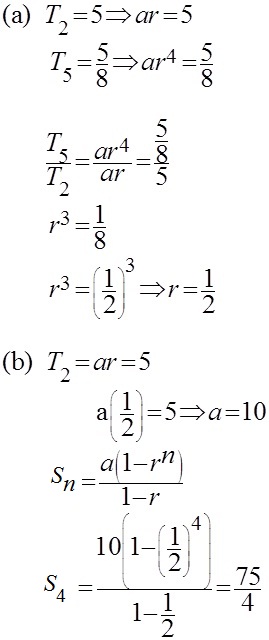
Matematik Tambahan: Janjang via cgrazakabdrahman.blogspot.com
Matematik Tambahan: Janjang

Contoh Soalan Vektor Algebra - Soalan W via soalanw.blogspot.com
Contoh Soalan Vektor Algebra - Soalan w

Cikgu Hassan - Youtube via www.youtube.com
Cikgu Hassan - YouTube

Lukisan Pokok Pisang Cikimm.com via www.cikimm.com
Lukisan Pokok Pisang  Cikimm.com

Soalan Indeks Form 3 - Contoh Su via contohsu.blogspot.com
Soalan Indeks Form 3 - Contoh Su

Matematik Tambahan: Hukum Linear via cgrazakabdrahman.blogspot.com
Matematik Tambahan: Hukum Linear

Soalan Log Matematik Tambahan - Day Free N via dayfreen.blogspot.com
Soalan Log Matematik Tambahan - Day Free n

Contoh Soalan Persamaan Garis Lurus Tingkatan 4 - Viral Blog W via viralblogw.blogspot.com
Contoh Soalan Persamaan Garis Lurus Tingkatan 4 - Viral Blog w

Matematik Tambahan: Pengamiran via cgrazakabdrahman.blogspot.com
Matematik Tambahan: Pengamiran


Random Image



Related Posts To Soalan Vektor Spm


Soalan Vektor Spm Rating: 4.5 Posted by: netasacin

Search Here

Popular Posts

Total Pageviews

Recent Posts

Partners